【Degree of Graphitization】The Hidden Benchmark of Anode Materials ...
The rapid growth of the EV and energy storage industries is boosting demand for high-performance lithium batteries, driving the market for quality petroleum coke and synthetic graphite. The quality and particle size of calcined petroleum coke directly affect synthetic graphite performance, especially in anode production.
【Degree of Graphitization】The Hidden Benchmark of Anode Materials — How to Calculate and Optimize It?
Among the core components of lithium-ion batteries, anode materials are like an "energy warehouse"; their performance directly determines battery capacity, lifetime, and safety. One of the key indicators for evaluating anode material quality is the degree of graphitization. This seemingly obscure parameter is, in fact, a hidden battlefield of technological competition in the industry.
Whether it is natural graphite, artificial graphite, or emerging silicon–carbon composite materials, the level of graphitization directly determines the material's electrical conductivity, structural stability, and lithium-ion intercalation efficiency. So how is the degree of graphitization calculated, and how does it affect battery performance? This article will reveal the mystery of this technical indicator from principles to applications.
What Is the Degree of Graphitization?
The degree of graphitization refers to the extent to which carbon atoms form a close-packed hexagonal graphite crystal structure. The closer the lattice parameters are to those of ideal graphite, the higher the degree of graphitization. The higher the degree of graphitization, the more stable the lattice structure. For example, for lithium-battery anode material—graphite—the higher the degree of graphitization, the better it ensures that the graphite anode structure will not be destroyed during long-term cycling.
Core significance of the degree of graphitization:
① High degree of graphitization (>90%): strong electrical conductivity and excellent rate performance, but higher cost;
② Low degree of graphitization (<80%): more structural defects and greater lithium-ion diffusion resistance, but lower cost.
In the power battery field, artificial graphite has become the mainstream choice because its graphitization degree is controllable (usually 90%–98%); in the consumer electronics field, lower-cost natural graphite is preferred (graphitization degree about 80%–90%).
How to Calculate the Degree of Graphitization? Analysis of Three Mainstream Methods
The calculation of graphitization degree must be based on structural characterization data. At present, the industry mainly uses the following three methods:
1. X-ray Diffraction (XRD)
Principle: By measuring the diffraction peak position and full width at half maximum of the graphite (002) crystal plane, the interlayer spacing (d<sub>002</sub>) is calculated and compared with the interlayer spacing of ideal graphite (0.3354 nm).
Formula:

Advantages: simple operation and intuitive data, suitable for batch testing.
Limitations: cannot distinguish crystallite size from defect types and has low sensitivity to non-graphitized carbon.
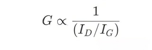
2. Raman Spectroscopy
Principle: By analyzing the intensity ratio of the D band (defect band, ~1350 cm⁻¹) and the G band (graphite band, ~1580 cm⁻¹), I<sub>D</sub>/I<sub>G</sub>, the degree of graphitization is indirectly evaluated.
Formula:

Advantages: can detect microscopic defects and is suitable for nanoscale material analysis.
Limitations: requires establishment of calibration curves for specific materials, and quantitative accuracy depends on empirical models.
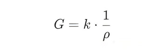
3. Electrical Resistivity Method
Principle: The higher the degree of graphitization, the lower the electrical resistivity. By measuring the resistivity at a given compacted density, the degree of graphitization is back-calculated.
Formula:

(k is an empirical coefficient, ρ is resistivity)
Advantages: fast and low cost, suitable for real-time monitoring on production lines.
Limitations: greatly affected by material purity and porosity and requires regular calibration.
Optimization of Graphitization Degree: A Game Between Process and Cost
The core of improving the degree of graphitization lies in high-temperature heat treatment (graphitization furnaces), but the process cost is high. Taking artificial graphite as an example, its production process includes:
Petroleum coke / needle coke → crushing → granulation → graphitization (2800–3000°C) → coating modification
Among them, the graphitization step accounts for 40%–50% of total production cost. The industry is reducing the barrier through the following technologies:
① Continuous graphitization technology: reduces energy loss of batch furnaces and improves efficiency by more than 30%;
② Catalytic graphitization: adding catalysts such as iron and nickel to reduce the graphitization temperature to below 2000°C;
③ Structural design: reducing surface defects through coating and doping to indirectly improve the effective degree of graphitization.
Industry Trends: The "Breakthrough Battle" of High-Graphitization-Degree Materials
With increasing demand for high energy density and fast charging in power batteries, high-graphitization-degree anode materials (>95%) have become a key R&D focus:
① CATL: launched "second-generation artificial graphite" with a graphitization degree of 98%, increasing cycle life by 20%;
② BTR (BTR New Material): through "particle shaping + surface modification" technology, achieved low-cost mass production at a 95% graphitization degree;
③ Silicon–carbon anodes: graphitized carbon layers act as a buffering matrix compatible with silicon's high-capacity characteristics, becoming the next-generation technology direction.
However, large-scale application of high-graphitization-degree materials still faces challenges:
① Cost pressure: graphitization electricity costs account for 30% of total material cost, urgently requiring breakthroughs in low-carbon processes;
② Performance balance: excessive pursuit of graphitization degree may sacrifice porosity and lithium-ion diffusion rate.
Degree of Graphitization — The "Ruler" of the Anode Industry and the Future
The degree of graphitization is not only a benchmark for evaluating anode material performance, but also a weathervane for technological upgrading of the industry. From XRD analysis in laboratories to resistivity monitoring on production lines, advances in calculation methods are driving this indicator from a "theoretical parameter" to "production guidance." In the future, with the maturation of continuous graphitization and catalytic processes, high-cost-performance, high-graphitization-degree materials are expected to become mainstream, injecting new momentum into the lithium-battery industry.
Feel free to contact us anytime for more information about the Anode Material market. Our team is dedicated to providing you with in-depth insights and customized assistance based on your needs. Whether you have questions about product specifications, market trends, or pricing, we are here to help.
No related results found







0 Replies