【Graphite Electrode】Nature Breakthrough: Lithium Battery Cycling Hysteresis Positively Correlated...
【Graphite Electrode】Nature Breakthrough: Lithium Battery Cycling Hysteresis Positively Correlated with Overvoltage, Graphite Electrode Becomes Key Factor!

At present, lithium-ion batteries are widely used as energy storage systems for mobile applications. However, to improve battery management systems (BMS), a better understanding of their properties is still required. Overvoltage and open-circuit voltage (OCV) hysteresis provide valuable information about battery performance, but these parameters are often estimated inaccurately, leading to errors in BMS. Hysteresis is usually avoided in studies because it depends on the state of charge and the level of degradation, requiring time-consuming measurements. We investigated the hysteresis and overvoltage of commercial Li(NiMnCo)O₂/graphite and LiFePO₄/graphite batteries. Here, we report a direct relationship between the increase in OCV hysteresis and the increase in charging overvoltage as the battery degrades due to cycling. We find that hysteresis is related to diffusion and increases with the formation of pure phases, mainly associated with the graphite electrode. These findings indicate that the graphite electrode is a determining factor in battery efficiency.
Figure 1

The cell voltage of an NMC battery is charged and discharged at a rate of C/25, with the OCV corresponding to a fresh NMC battery. The inset shows how overvoltage and voltage hysteresis are obtained.
Figure 2

Overvoltage generated by the NMC battery during (a) charging and (b) discharging at C/50, and (c) during charging and discharging at C/5. The increase in overvoltage after cycling aging tests is shown below.
Figure 3

Hysteresis observed in fresh and aged NMC cells, which increases correspondingly after aging tests.
Figure 4
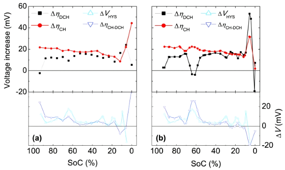
The increase in overvoltage and hysteresis of NMC batteries after cycling degradation, evaluated at (a) C/50 and (b) C/25.
Figure 5

The increase in overvoltage and hysteresis after cycling-induced degradation of LFP batteries, evaluated at C/25.
Figure 6
Incremental capacity of (a, b) graphite and (c, d) NMC electrodes configured as half-cells during OCV hysteresis at C/25 charging and room temperature. (a, c) represent fresh electrodes, while (b, d) represent aged electrodes. The yellow regions indicate single-phase regions, and the gray regions indicate the working SoC range of the full cell.
In summary, this study finds that both hysteresis and overvoltage in lithium-ion batteries increase at the end of phase transitions (i.e., during pure phase formation). Overvoltage has previously been associated with diffusion (transport properties). After cycling aging, hysteresis increases, and the increase in charging overvoltage is greater than that in discharging overvoltage. Most importantly, the additional increase in charging overvoltage shows a direct correspondence with the increase in hysteresis after cycling aging. This trend is observed in both NMC and LFP batteries. Furthermore, it indicates that the increase in hysteresis caused by cycling aging is mainly related to the graphite electrode. A possible cause is mechanical degradation (i.e., structural changes in the battery), as it alters transport properties (diffusion overvoltage) and is reflected in OCV hysteresis.
Feel free to contact us anytime for more information about the Graphite Electrode market. Our team is dedicated to providing you with in-depth insights and customized assistance based on your needs. Whether you have questions about product specifications, market trends, or pricing, we are here to help.
No related results found







0 Replies